- 2 minutes, 20 seconds
- Expertise article
- Dürlinger S., Balka G., Rathkjen PH., Kraft C., Morgenstern R., Ladinig A.
INTRODUCTION
Porcine reproductive and respiratory syndrome (PRRS) is one of the most wide-spread and economically devastating diseases in the swine industry, characterized by respiratory disorders and a prolonged fattening period.
Vaccination of piglets with modified life virus (MLV) vaccines has been shown to be an effective measure to aid in the effects of wild-type virus infection and general health of the animals.
STUDY DESIGN
The aim of the study was to investigate the effect of the PRRSV-1 strain AUT15-33 challenge on the daily weight gain and amount of coughing in vaccinated and non-vaccinated piglets. Vaccination was performed at four weeks of age and challenge was done four weeks post vaccination. Coughing was monitored from the day of vaccination until two weeks post challenge by a 24/7 continuously monitoring system (SoundTalks NV, Belgium).
METHODS
Five groups of piglets were either vaccinated (groups 1, 2, 5) or not (groups 3, 4) and subsequently challenged with the highly pathogenic PRRSV-1 strain AUT15-33 (‘ACRO’ strain) with a low dose (1x103, groups 2+4) or a high dose (1x105, groups 1+3), while group 5 remained un-challenged (negative control; see Table 1).
Weight was recorded on the day of vaccination (D0), day of challenge (D28), one and two weeks post challenge (D35/42). Separate cough monitor systems were installed in each of the rooms. Collected digital data were uploaded to the SoundTalks database and analyzed (see Fig. 1).
Table 1. Study groups and treatment
RESULTS
Continuous sound recording revealed a slightly higher cough index recorded in the room with vaccinated piglets until day of challenge compared to the non-vaccinated groups and the strict negative control. However, the cough index rose in the vaccinated groups only slowly and very marginal after challenge, while in the non-vaccinated groups coughing started severely one week after challenge with a more than three times higher peak cough index than their vaccinated counterparts (CI 41.8 vs. 13.3, see Fig. 1).
Figure 1. Cough index per day

The average daily weight gain (AWDG) was comparable in all groups between vaccination and day of challenge (D0–28). After challenge the weight gain was reduced in the non-vaccinated groups compared to the vaccinated groups one week post challenge (D28–35), 580g vs. 688g and 454g vs. 546g per day in the high and low challenge dose, respectively.
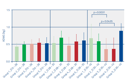
In the second week post challenge (D35–42) the weight gain was further reduced and significantly lower in the non-vaccinated groups compared to the vaccinated groups, 371g vs. 589g and 354g vs. 680g per day in the high and low challenge dose groups, respectively (see Fig. 2).
Figure 2. Average Daily Weight gain
CONCLUSIONS
An experimental challenge with the highly pathogenic PRRSV-1 strain AUT15-33 caused a substantial decrease in weight gain and induction of coughing in unprotected animals both regardless of the challenge dose. However, vaccination can ease both effects with a better health status through reduced coughing and significant higher average daily weight gains after challenge.