- 10 minutes
- Expertise article
- N Grützner, P Latell, D Höppe, G Gröbke, D Hoeltig, R Steens
N Grützner1,2,3, P Latell1, D Höppe2, G Gröbke2, D Hoeltig3, R Steens4
1Veterinary Practice Peter Latell, Köthen, Germany; 2Farm Veterinary Practice Anhalt, Köthen, Germany; 3Clinic for Swine and Small Ruminants and forensic Medicine and Ambulatory Service, University of Veterinary Medicine Hannover, Germany; 4Boehringer Ingelheim Vetmedica GmbH, Germany, niels.gruetzner@tiho-hannover.de
Introduction
After outbreaks of porcine reproductive and respiratory syndrome virus (PRRSV) infections in sow herds, the time to stability of the sow herd can take 18 to 55 weeks.1,2 Different sampling strategies (e.g., processing fluids, serum, or oral fluids) have been described to assess the PRRSV-status after implementing control measures like sow vaccination, improvement of hygiene protocols, lowering stocking density, and piglet flow optimization.1,3 Thus, we aimed to compare the different described strategies regarding their applicability for monitoring the PRRSV-status in a 3000-sow herd after a PRRS outbreak.
Materials and Methods
In a 3000-sow herd located in Germany, a PRRSV-1 (EU) outbreak occurred and was confirmed by using a PRRSV-1 PCR (EZ-PRRSV MPX 4.0, Tetracore). Subsequently, a hygiene protocol was established, and sows were vaccinated twice in a four-week interval with ReproCyc® PRRS EU. Besides, piglets were vaccinated at three-weeks of age with Ingelvac® PRRSFLEX EU. Five weeks after second sow herd vaccination, every fourweeks processing fluids (4x ten litters of tails and testis), serum (n=30 piglets; pooled 6x five samples), and oral fluids (four cotton ropes of 28 pigs each) specimens were collected from 3-days-old pigs, 3-weeks-old piglets, and 6- and 9-weeks-old pigs, respectively. PRRSV-detection was determined by using a PRRSV-1 PCR and measured again if positive by an in-house PCR to rule out PRRSV-vaccine strain 94881. Results from the different sampling strategies were used to compare the PRRSVstatus over time. Data analysis was performed using a non-parametric Kruskal-Wallis test.
Results
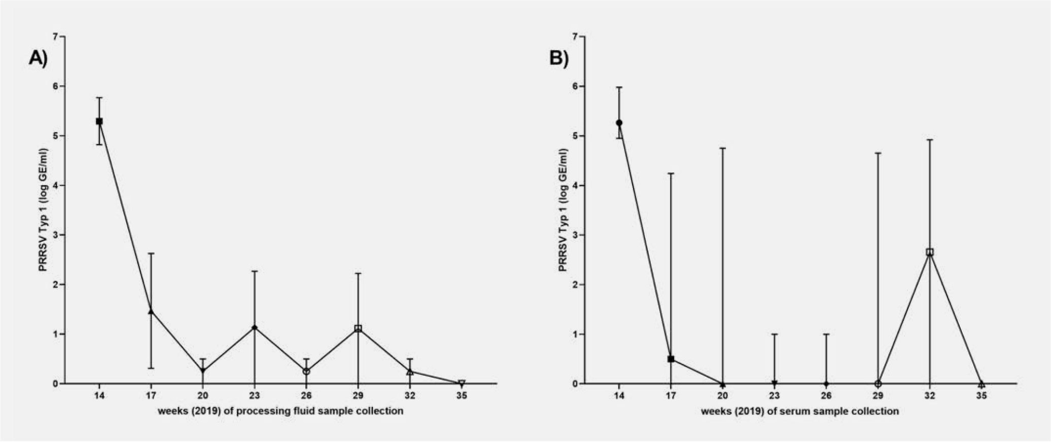
Processing fluids and serum samples showed a significant decrease in PRRSV concentrations from week 1 (median: 4.9, range: 4.7 to 6.7) to week 35 (median: 0.0, range: 0.0 to 0.0; p=0.0063) and week 1 (median: 5.3, range: 5.0 to 6.0) to week 35 (median: 0.0, range: 0.0 to 0.0; p=0.0002), respectively. Oral fluids showed no statistically significant differences between the weeks of sampling (p>0.05). A positive correlation was obtained between concentrations in processing fluids and serum (ρ: 0.63 [95% CI: 0.37 to 0.80]; p=0.0001), but not between concentrations in processing fluid and oral fluid or concentrations of serum and oral fluids (both: p>0.05). Results from processing fluids as well as from serum samples revealed an inconsistency in hygiene and pig flow management at the farm, however, an additional integration of an age-dependent pig flow procedure for disease control lead to zero PRRSV concentrations on three consecutive measurements at the farm within 35 weeks after the PRRSV outbreak. According to the variation of measured values for processing fluids and serum at the different time-points, it seems that serum samples had a higher variation compared to processing fluids (Figure 1). During the study period (from week 14 to week 35), a consistent decrease of measured values for processing fluids was observed (Figure 1).
Figure 1: PRRSV concentrations from week 14 to 35 after the PRRSV outbreak in A) the processing fluids (n=40) and B) serum samples (n=30).

Conclusions and Discussion
The 3000-sow herd reached the time to stability of the sow herd within 35 weeks after the detected PRRSV outbreak. The implementation of a strict age-dependent pig flow lead to zero PRRSV results on three consecutive measurements. Processing fluids and serum samples were equivalent sampling strategies to monitor the PRRSV-status regarding long-term evaluation, whereas processing fluids showed more consistent values regarding data interpretation of single examination days.
References
- Trevisan G et al.: 2019, Porcine Health Manag 5:18.
- Linhares D et al.: 2014, Prev Vet Med 144:112-116.
- Kittawornrat A et al.: 2010, Virus Res 154: 170-176.